报告题目:不完整区间上整数及其逆的差的分布问题
   报告时间:2019-4-18, 14:10
   报告地点:曲江校区 教9-313
   主要内容:设
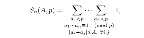
为奇素数 . 对于满足a1 · · · an ≡ 1 mod p的整数组(a1; · · · ; an) ,探讨任意分量具有小间隔时的分布性质是一个有意义的研究问题。本讲座中,我们将介绍相关研究问题的背景,并考虑以下计数函数的分布性质:
 这里 A是小于p的实数. 利用解析数论的基本理论和新技巧方法,对相应计数函数给出一个精确的渐近公式.
   报告人简介:易媛,教授、博士生导师,现任西安交通大学数学与统计公司副经理,中国数学会理事,中国高等教育教育学会理科专业委员会理事,陕西省数学会常务理事。2001年至今一直在西安交通大学数学系任教,主要研究方向为解析数论。2008年第一批入选西安交通大学“青年骨干教师培养计划”,2009至2010年在美国Iowa大学访问交流。主持并完成国家自然科学基金两项。曾获陕西省高等公司科学技术将一等奖,陕西省科学技术奖二等奖各一项,第二完成人。
  
 欢迎广大师生积极参加!